
If you’ve ever compared your glasses prescription to your contact lens prescription, you might have been surprised—they’re not the same. One key reason for this difference is something called vertex distance. Understanding vertex distance for contact lens wearers is important because it explains why lens powers change when switching from spectacles to contacts.
Let’s break it down in simple terms.
What Is Vertex Distance for Contact Lens?
Vertex distance refers to the space between the back surface of your spectacle lenses and the front of your eye. Glasses usually sit about 12 mm away from the eye, while contact lenses rest directly on the eye, making the vertex distance for contact lens essentially zero.
Even though this space may seem tiny, it makes a big difference in how your lenses work.
Why is Vertex Distance Important in Contact Lens Fitting?
The key reason for considering vertex distance is optical accuracy. Without adjusting for vertex distance:
- Plus lenses may become too strong when placed closer to the eye.
- Minus lenses may become too weak when moved from spectacles to the cornea.
In clinical settings, this adjustment is crucial to ensure the patient receives the correct refractive correction.

Why Is Vertex Distance Important?
The power of a lens depends on how far it sits from your eye. When a lens is placed closer or farther away, the way it bends light changes—just like moving a magnifying glass closer or farther from an object.
So, if your prescription is strong—generally above +4.00 or -4.00 diopters—the power must be adjusted when converting from glasses to contact lenses. This adjustment is based on vertex distance for contact lens fitting.
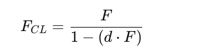
The Vertex Conversion Formula (for Optometrists)
To adjust for vertex distance, we use the vertex conversion formula:

Where:
- FFF = Spectacle lens power in diopters
- ddd = Vertex distance in meters (e.g., 12 mm = 0.012 m)
- FCLF_{CL}FCL = Contact lens power needed
This formula is especially important for prescriptions above ±4.00 D. For example, a spectacle prescription of -10.00 D at 12 mm vertex distance would need a -9.00 D contact lens.
Where:
- FFF = Spectacle lens power in diopters
- ddd = Vertex distance in meters (e.g., 12 mm = 0.012 m)
- FCLF_{CL}FCL = Contact lens power needed
This formula is especially important for prescriptions above ±4.00 D. For example, a spectacle prescription of -10.00 D at 12 mm vertex distance would need a -9.00 D contact lens.
Clinical Examples
Let’s consider two quick examples:
- Spectacle Rx: -8.00 D at 12 mm vertex distance
Contact lens power ≈ -7.25 D - Spectacle Rx: +7.00 D at 12 mm vertex distance
Contact lens power ≈ +7.75 D
You’ll notice that minus powers decrease, and plus powers increase when converting to contact lenses.
A Simple Example
Let’s say your glasses prescription is -8.00. That’s a high prescription for nearsightedness. When you switch to contact lenses (which sit directly on your eye), the required lens power will be less, often around -7.25 or -7.50.
That’s because the light doesn’t need to be bent as much when the lens is closer to your eye. This difference is calculated using the vertex distance.
Why You Need a Separate Contact Lens Prescription
You should never use your glasses prescription to order contact lenses online. It won’t work—and may even harm your vision or cause discomfort.
A contact lens prescription includes:
- The adjusted power (based on vertex distance)
- The base curve and diameter (for proper fit)
- The lens brand or type
These details are specific to your eyes and ensure that your contacts are safe and effective.
Key Takeaways
- Vertex distance for contact lens refers to how lens position affects power needs.
- Glasses and contacts sit at different distances from your eyes, changing how light is focused.
- Strong prescriptions (above ±4.00 D) require power adjustment when switching from glasses to contacts.
- Always get a proper contact lens prescription—don’t use your spectacle numbers!
Bausch + Lomb Arise™ Orthokeratology Lens System: A Game-Changer for Myopia Management
Final Thoughts
Even though vertex distance for contact lens may sound technical, it plays a crucial role in making sure your vision correction is accurate and comfortable. By understanding this concept, you’ll appreciate the care your optometrist takes in giving you the right lenses.
So next time you compare your glasses and contact lens prescriptions, you’ll know why they differ—and why that difference matters for your vision.
If you are an Optometrist, Also check- beinganoptometrist.com
Fahmina is a qualified optometrist with a distinction-level degree from West Bengal University of Technology and over 10 years of clinical and educational experience. She founded OptometrySkills.com to make professional-grade eye care knowledge accessible to practitioners and patients alike.